Tên luận án: Nghiên cứu thành phần hóa học và hoạt tính sinh học của loài Zanthoxylum nitidum thuộc họ Rutaceae ở Việt Nam
Chuyên ngành: Hóa học các hợp chất thiên nhiên; Mã số: 9 44 01 17
Họ và tên học viên: Trần Thị Tuyến
Họ và tên cán bộ hướng dẫn 1: PGS.TS. Nguyễn Thị Hồng Vân
Họ và tên cán bộ hướng dẫn 2: PGS.TS. Phạm Minh Quân
Cơ sở đào tạo: Viện Hóa học các Hợp chất thiên nhiên, Viện Hàn lâm Khoa học & Công nghệ Việt Nam
TÓM TẮT NHỮNG KẾT LUẬN MỚI CỦA LUẬN ÁN
Luận án nghiên cứu về thành phần hóa học và hoạt tính sinh học của loài Z. nitidum, sau thời gian thực hiện đã thu được kết quả như sau:
1. Về thành phần hóa học:
- Từ thân cành loài Zanthoxylum nitidum, đã tìm thấy và xác định cấu trúc của 23 hợp chất, gồm có:
+ 07 hợp chất alkaloid mới: 7-methoxy-8-demethoxynitidine (ZN2), zanthocadinanine C (ZN5), zanthonitiside A (ZN10), zanthonitiside B (ZN11), zanthonitiside C (ZN12), zanthonitiside D (ZN13), zanthonitiside I (ZN14).
+ 06 hợp chất được tìm thấy lần đầu từ chi Zanthoxylum: 6-carboxymethyldihydrochelerythrine (ZN8), syringaresinol O-β-D-glucopyranoside (ZN16), (+)-lyoniresinol-9′-O-β-D-glucopyranoside (ZN18), (-)-lyoniresinol-9′-O-β-D-glucopyranoside (ZN19), 2,6-dimethoxybenzoquinone (ZN21), 3β-hydroxycholest-5-en-7-one (ZN22).
+ 10 hợp chất được tìm thấy lần đầu từ loài Zanthoxylum nitidum: zanthoxyline (ZN3), 6-carboxymethyldihydrochelerythrine (ZN8), 6-acetonyl-N-methyl-dihydrodecarine (ZN9), syringaresinol O-β-D-glucopyranoside (ZN16), (+)-lyoniresinol-9′-O-β-D-glucopyranoside (ZN18), (-)-lyoniresinol-9′-O-β-D-glucopyranoside (ZN19), (-)-isolariciresinol 3α-O-β-D-glucopyranoside (ZN20), 2,6-dimethoxybenzoquinone (ZN21), 3β-hydroxycholest-5-en-7-one (ZN22), β-amyrin (ZN23).
- Đã định lượng hoạt chất nitidine (ZN1) ở loài Zanthoxylum nitidum (lá, quả, cành, thân, rễ) và thu được kết quả là: rễ chứa hàm lượng nitidine cao nhất (0,21%), tiếp theo trong thân (0,17%), cành 0,054% nhưng không có mặt ở lá và trong quả thì rất ít.
2. Về hoạt tính sinh học:
- Đã tiến hành thử hoạt tính gây độc tế bào của các chất phân lập được trên 05 dòng tế bào ung thư người: KB, LU-1, MCF7, HepG2 và LNCaP. Kết quả là:
+ Đối với 07 hợp chất mới: hợp chất 7-methoxy-8-demethoxynitidine (ZN2) có hoạt tính khá mạnh trên 05 dòng tế bào [IC50 (10,3 - 12,6 µg/ml)]; bốn hợp chất zanthonitiside A (ZN10), zanthonitiside B (ZN11), zanthonitiside C (ZN12) zanthonitiside D (ZN13) có hoạt tính vừa phải trên các dòng tế bào [IC50 (19,8 - 58,79 µg/ml]; hai hợp chất còn lại zanthocadinanine C (ZN5) và zanthonitiside I (ZN14) không thể hiện có hoạt tính trên các dòng tế bào.
+ Đối với chất đã biết, nitidine (ZN1) kháng rất mạnh trên cả 05 dòng tế bào [IC50 0,25-0,28 µg/ml].
- Đã thử hoạt tính kháng VSVKĐ của các chất phân lập được và kết quả là: một số chất kháng một số chủng VSVKĐ với MIC 200 µg/ml, trong đó đáng chú ý nhất là chất mới 7-methoxy-8-demethoxynitidine (ZN2) kháng cả 04 chủng VSVKĐ.
3. Về mối tương quan giữa cấu trúc và hoạt tính kháng u:
- Đã tiến hành mô phỏng tương tác phân tử nghiên cứu mối tương quan cấu trúc - hoạt tính ức chế tế bào ung thư MCF-7 của một số hợp chất được tách ra từ loài Z. nitidum. Kết quả chỉ ra hợp chất ZN1 và ZN2 thể hiện tiềm năng cao ức chế tubulin, một protein đóng vai trò quan trọng trong sự phát triển của các tế bào ung thư. Đây là cơ sở định hướng cho những nghiên cứu phát triển thuốc điều trị ung thư định hướng đích tác dụng protein tubulin cho những nghiên cứu trong tương lai.
4. Về thành phần, hàm lượng và hoạt tính sinh học của tinh dầu:
- Đã khảo sát thành phần, hàm lượng và hoạt tính kháng VSVKĐ, gây độc tế bào của tinh dầu lá (ZR-L), quả (ZN-F) và cành (ZN-B) của loài Z. nitidum. Kết quả thể hiện: hàm lượng tinh dầu lá, quả và cành đạt lần lượt 0,016%, 0,01% và 0,08% so với nguyên liệu ban đầu và tương ứng 35, 28 và 25 hợp chất được nhận dạng chiếm lần lượt là 97.68%, 91.7% và 96.24%. Thành phần chính trong tinh dầu lá là limonene (44,3%), β-caryophyllene (12,5%), linalool (11,0%) và germacrene D (5,3%); tinh dầu quả là n-pentadecan (34,8%) và sabinene (18,3%); tinh dầu cành là 2-undecanone (72,3%) và β-caryophyllene (5,8%). Tinh dầu lá và cành kháng cả 5 dòng tế bào ung thư [IC50 (16,2 µg/ml ≤ 79,7 µg/ml); tinh dầu lá kháng chủng F. oxysporum, tinh dầu quả kháng chủng E. coli và B. subtilis, tinh dầu cành kháng cả chủng B. subtilis và F. oxysponrum với cùng nồng độ MIC là 100 µg/ml.
Như vậy, các kết quả đạt được sẽ đóng góp vào lĩnh vực hóa học các hợp chất thiên nhiên, đồng thời giúp định hướng, khai thác và sử dụng có hiệu quả các hoạt chất trong thực vật thuộc chi Zanthoxylum.
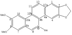
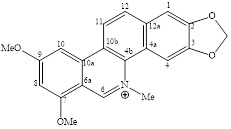
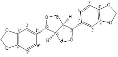
Bảng 1: Cấu trúc hóa học của 23 hợp chất phân lập từ thân cành loài Z. nitidum
|
ZN1 (nitidine) |
ZN2 (7-methoxy-8-demethoxynitidine) - Chất mới |
|
ZN3 (zanthoxyline) |
ZN4 (Dihydrochelerythrine) |
|
ZN5 (zanthocadinanine C) - Chất mới |
ZN6 (6-acetonyldihydrochelerytherine) |
|
ZN 7 (bocconoline) |
ZN8 (6-carboxymethyldihydrochelerythrine) |
|
ZN9 (6-acetonyl-N-methyl-dihydrodecarine) |
ZN10 (zanthonitiside A) - Chất mới |
|
ZN11 (zanthonitiside B) - Chất mới |
ZN12 (zanthonitiside C) - Chất mới |
|
ZN13 (zanthonitiside D) - Chất mới |
ZN14 (zanthonitiside I) - Chất mới |
|
ZN15 (sesamin) |
ZN16 (syringaresinol O-β-D-glucopyranoside) |
|
ZN17 (syringaresinol) |
ZN18 ((+)-lyoniresinol-9′-O-β-D-glucopyranoside) |
|
ZN19 ((-)-lyoniresinol-9′-O-β-D-glucopyranoside) |
ZN20 ((-)-isolariciresinol 3α-O-β-D-glucopyranoside) |
|
ZN21 (2,6-dimethoxybenzoquinone) |
ZN22 (3β-hydroxycholest-5-en-7-one) |
|
ZN23 (β-amyrin) | |
Hình 1. Cấu hình liên kết của các hợp chất ức chế tiềm năng với protein tubulin
|
ZN1 |
ZN2 |
|
Colchicine | |



































